产品目录
桃色在线视频
液体流量计
桃色成人在线视频
油流量计
桃色视频入口
椭圆齿轮流量计
电磁流量计
涡街流量计
蒸汽流量计
孔板流量计
旋进旋涡流量计
热式气体质量流量计
转子流量计
浮子流量计
靶式流量计
气体流量计
超声波流量计
磁翻板液位计
浮子液位计
浮球液位计
玻璃管液位计
雷达液位计
超声波液位计
投入式液位计
压力变送器
差压变送器
液位变送器
温度变送器
热电偶
热电阻
双金属温度计
推荐产品
联系桃色APP直播软件
- 金湖桃色APP直播软件仪表有限公司
- 联系电话:15195518515
- 在线客服:1464856260
- 电话:0517-86801009
- 传真号码:0517-86801007
- 邮箱:1464856260@qq.com
- 网址:http://www.hdl-enamel.com
- 地址:江苏省金湖县理士大道61号
原桃色成人在线视频
- 品*:JKM/桃色APP直播软件仪表
- 型号:JKM-LDE
- 测量范围:0.028~205258m³/h
- 精度等级:0.5级、1.0级
- 公称通径:DN10~DN2200
- 适用介质:污水、导电液体
- 工作压力:1.6~6.3MPa
- 工作温度:-20~+200℃
- 供电方式:220V 24V 锂电池
- 订货号:DRYS**NMB352
原桃色成人在线视频产品概述
电磁流量计在测量过程中,它不受被测介质的温度、粘度、密度以电导率(在一定范围)的影响。因此,流量计只需经水标定后,就可心用来测量其它导电性液体的流量。流量计的输出只与被测介质的平均流速成正比,而与对称分布下的流动状态(层流或湍流)无关。 
原桃色成人在线视频性能特点
1、测量精度不受流体密度、粘度、温度、压力和电导率变化的影响,传感器感应电压信号与平均流速呈线性关系,因此测量精度高。
2、测量管道内无阻流件,因此没有附加的压力损失;测量管道内无可动部件,因此传感器寿命*长。
3、由于感应电压信号是在整个充满磁场的空间中形成的,是管道载面上的平均值,因此传感器所需的直管段较短,长度为5倍的管道直径。
4、传感器部分只有内衬和电*与被测液体接触,只要合理选择电*和内衬材料,即可耐腐蚀和耐磨损。
5、LDE转换器采用国际*新的单片机(MCU)和表面贴装技术(SMT),性能可靠,精度高,功耗低,零点稳定,参数设定方便。点击中文显示LCD,显示累积流量,瞬时流量、流速、流量百分比等。
6、双向测量系统,可测正向流量、反向流量。采用特殊的生产工艺和优质材料,确保产品的性能在长时候内保持稳定。
原桃色成人在线视频的主要技术数据
1、口径:DN15~2400mm
2、介质:导电性液体
3、衬里:氯丁橡胶、聚氨酯橡胶、聚四氟乙烯、聚全氟乙丙烯
4、流速:≤15m/s
5、励磁方式:方波励磁
6、电*材料:不锈钢316L、哈氏合金C、哈氏合金B、钛、钽、铂铱
7、额定压力:0.6MPa、1.0MPa、1.6MPa、4.0MPa
8、介质温度:氯丁橡胶:-10~60℃;聚氨酯橡胶:-10~40℃
9、聚四氟乙烯(F4):-10~120℃;聚全氟乙丙烯(F46):-10~150℃
10、介质电导率:>5μs/cm
11、准确度等级:±1.0%;±0.5%;±0.2%
12、输出信号:4~20mA电流,脉冲频率,上下限报警
13、通讯:RS485/RS232(可选)
14、防护等级:IP65、IP67、IP68
15、防爆等级:ExdⅡCT3-CT6
16、电缆接口:M18*1.5
17、环境条件:环境温度:-10~50℃ 相对湿度:5%~90% 环境电磁场:≤400A/m
18、供电电源:85~250VAC;20~36VDC;3.6V电池供电
原桃色成人在线视频安装地点的选择
为了使流量计工作稳定可靠,在选择安装地点时应注意以下几方面的要求:
1.尽量避开铁磁性物体及具有强电磁场的设备(大电机、大变压器等),以免磁场影响传感器的工作磁场和流量信号。
2.应尽量安装在干燥通风之处,避免日晒雨淋,环境温度应在-20~+60℃,相对湿度小于85%。
3.流量计周围应有充裕的空间,便于安装和维护。
安装建议
流量计的测量原理不依赖流量的特性,如果管路内有一定的湍流与漩涡产生在非测量区内(如:弯头、切向限流或上游有半开的截止阀)则与测量无关。如果在测量区内有稳态的涡流则会影响测量的稳定性和测量的精度,这时则应采取一些措施以稳定流速分布:
a. 增加前后直管段的长度;
b. 采用一个流量稳定器;
c. 减少测量点的截面。
水平和垂直安装
传感器可以水平和垂直安装,但是应该确保避免沉积物和气泡对测量电*的影响,电*轴向保持水平为好。垂直安装时,流体应自下而上流动。
传感器不能安装在管道的*高位置,这个位置容易积聚气泡。
确保满管安装
确保流量传感器在测量时,管道中充满被测流体,不能出现非满管状态。 如管道存在非满管或是出口有放空状态,传感器应安装在一根虹吸管上。
弯管、阀门和泵之间的安装
为保证测量的稳定性,应在传感器的前后设置直管段,其长度由下图给出。如做不到则应采用稳流器或减小测量点的截面积。
传感器不能安装在泵的进水口
为避免负压,传感器不能安装在泵的进水口,而应安装在泵的出水口。
传感器的进口直管段和出口直管段
比较理想的安装地点应选择测量点前后有足够的直管段。进口直管段应≥5D,出口直管段≥3D(D为传感器公称口径)。
插入式进口直管段应≥20D , 出口直管段≥7D(D为传感器公称口径)。

原桃色成人在线视频工作原理
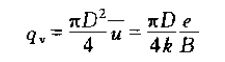
电磁流量计测量原理是基于法拉*电磁感应规律。流量计的测量管是一内衬绝缘材料的非导磁合金短管。两只电*沿管径方向穿通管壁固定在测量管上。其电*头于衬里内表面基本齐平。励磁线圈由双向方波脉冲励磁时,将在与测量管轴线垂直的方向上产生一磁通量密度为B的工作磁场。此时,如果具有一定电导率的流体流经测量管,将切割磁力线感应出电动势E。电动势E正比于磁通量密度B,测量管内径d与平均流速 的乘积、电动势E(流量信号)由电*检出并通过电缆送至转换器。转换器将流量信号放大处理后,可显示流体流量,并能输出脉冲,模拟电流信号,用于流量的测量和控制。
式中: E---------为电*间的信号电压(v)
B---------磁通密度(T)
d---------测量管内径(m)
--------平均流速(m/s)
K---------常数
由于K为常数,励磁电流是恒流的,故B也是常数,则由(1-1)式可知,体积流量Q与信号电压E成正比,即流速感应的信号电压E与体积流量Q成线性关系。因此,只要测量出E就可确定流量Q,这就是电磁流量计的基本工作原理。
由(1-1)式可知,被测流体介质的温度、密度、压力、导电率、液固两相流体介质的液固成分比等参数不会影响测量结果。至于流动状态只要符合轴对称流动(如层流或紊流)就不会影响测量结果的。因此说流量计是一种真正的体积流量计。
原桃色成人在线视频仪表选型
电磁流量计应用领域广泛。大口径仪表较多应用于给排水工程,中小口径常用于固液双相等难测流体或高要求场所,如测量造纸工业纸浆液和黑液、有色冶金业的矿浆、选煤厂的煤浆、化学工业的强腐蚀液体以及钢铁工业高炉风口冷却水控制和监漏,长距离管道煤的水力输送的流量测量和控制。小口径、微小口径常用于医药工业、食品工业、生物工程等有卫生要求的场所。
1、根据一体型和分离型电磁流量计的特点,选择合适的类型。一体型安装敷线方便,精度中等,不宜在地面以下安装,以防转换器被水淹没。分离型精确度较高,转换器与传感器异地安装,更适合现场环境比较差(如有害、有毒、易受水淹没等场所)的场合,但安装、敷线较严格,否则易引入干扰信号。
2、选择合适的电*形式。对于不产生结晶、结疤、不沾污电*的介质,可用标准电*,否则用清垢电*或有清洗连接装置的电*。对于测污泥场合,还可选用可换式电*。
3、根据被测介质的腐蚀性选择电*材料。
流量计电*选择:
4、根据被测介质的腐蚀性、磨损性及温度来选择衬里材料。
5、流量计防护等级。根据国标GB4208-1984约同于国际电工委员会IEC标准(IEC529-7B),外壳防护等级的标准为:IP65为防喷水型,即可允许水龙头从任何方向对仪表喷水,喷水压力为30Kpa。出水量为0.75m3/h,喷水口离仪表距离为3m;IP67为防浸水型,即仪表可全部浸入水中,*高点应在水下至少150cm,持续时间至少30min。IP68为潜水型,能长期在水下工作。根据以上规定,在地下安装易被水淹的仪表应选IP68,仪表在地上安装的宜选IP65。
6、根据连接仪表管道的绝缘性选择接地。
7、根据被测介质的*高压力选择水泥浆流量计的公称压力。对于介质压力为10MPa、16MPa、25MPa、32MPa几个等级的流量测量,应选用高压型电磁流量计。其*大口径为100mm。
原桃色成人在线视频衬里的选择
原桃色成人在线视频电*的选择
原桃色成人在线视频型谱


