产品目录
桃色在线视频
液体流量计
桃色成人在线视频
油流量计
桃色视频入口
椭圆齿轮流量计
电磁流量计
涡街流量计
蒸汽流量计
孔板流量计
旋进旋涡流量计
热式气体质量流量计
转子流量计
浮子流量计
靶式流量计
气体流量计
超声波流量计
磁翻板液位计
浮子液位计
浮球液位计
玻璃管液位计
雷达液位计
超声波液位计
投入式液位计
压力变送器
差压变送器
液位变送器
温度变送器
热电偶
热电阻
双金属温度计
推荐产品
联系桃色APP直播软件
- 金湖桃色APP直播软件仪表有限公司
- 联系电话:15195518515
- 在线客服:1464856260
- 电话:0517-86801009
- 传真号码:0517-86801007
- 邮箱:1464856260@qq.com
- 网址:http://www.hdl-enamel.com
- 地址:江苏省金湖县理士大道61号
涡轮流量计机械摩擦与流体阻力对精度的影响
发布时间:2020-08-29 07:01:53 点击次数:2958次
1、前言
仪表精度有精密度、正确度和准确度之分。精密度也叫重复性误差,是表示测量结果随机误差大小的程度,通常用标准偏差σ或随机不确定度δM表示,δM =±tσ,t为置信系数。正确度是表示测量结果系统误差大小的程度,系统误差E包括,已定系统误差ε和未定系统误差±e两部分,因此正确度可用E=ε±e表示。准确度A是表示测量结果与真值的一致程度,用A=ε±U表示,U为未定系统误差±e与随机不确定度δM合成的总不确定度。
桃色视频入口是速度式流量测量仪表,气动涡轮的转速是随着流量增高而线性地增大。因此,涡轮转速就是流量的量度,通过机械传动、磁电转换,形成与流量成正比的电脉冲信号。桃色视频入口具有量程宽、重复性好等优点。在很宽的流量范围内(量程比Qmax :Qmin 可达 10 :1至 2 0 :1),管内流量与电脉冲信号之间呈线性关系,因此桃色视频入口是测量气体体积流量的理想仪表。但由于它为速度式仪表,管内气体流速分布不均和二次流的存在均影响其计量精度,因此,流量计内部结构的设计、管路的设计、气体体积本身随压力、温度变化的性质、机械阻力以及气动阻力等各种因素都会对流量计的精度产生影响。只有*大限度地消除这些因素的不良影响,才能使桃色视频入口达到更高的计量精度。
2、机械摩擦与流体阻力对精度的影响
2.1 桃色视频入口的数学模型
作用在涡轮上的力矩大致分为以下几个:流体通过涡轮时对叶片产生的推动力矩Tr,流体沿涡轮表面流动时产生的粘滞摩擦力、涡轮轴与轴承之间、齿轮与齿轮之间等机械摩擦阻力矩Trm,流体通过涡轮时对涡轮的流体阻力矩Trf、磁电转换器对涡轮产生的电磁反作用阻力矩Tre。由此可以建立涡轮的运动微分方程:

式中:J—涡轮的转动惯量;ω—涡轮的旋转角速度。
通常电磁反作用阻力矩Tre比较小,其影响可以忽略。正常工作条件下,可认为管道内流量不**间变化,即涡轮以稳定的角速度旋转。因此,Tre =0,dω/dt=0,这样可得稳定工况下的运动微分方程:
Tr-Trf-Trm=0 (2)
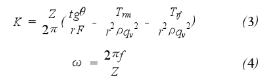
设θ为涡轮叶片与轴线的夹角,F为流通面积,Z为涡轮叶片数,f为脉冲频率,ρ为气体密度,qv为气体流量,K=f/qv为仪表系数,可得:

式中:r—涡轮叶片平均半径。
2.2 机械摩擦阻力矩Trm对精度的影响
对于实际的桃色视频入口,涡轮*先必须克服静摩擦阻力矩后才能转动,涡轮克服静摩擦阻力矩所需的*小流量值被称为该流量计的始动流量值qvmin。当通过流量计的流量小于qvmin时,涡轮不转,无脉冲信号输出。当流量相当于始动流量时,涡轮起动,此时,它的角速度很小,可忽略流体阻力矩Trf的影响。式 (3)变为:

由于始动流量时频率f为零,由式(5)得:

式中:β—涡轮叶片螺旋升角。
分析式(6)可知:机械摩擦阻力矩Trm越小,流量计的始动流量也越小,小流量区段量程越宽。所以,要得到好的小流量特性,*先应减少机械摩擦阻力矩Trm。
2.3 流体阻力矩Trf对精度的影响
当流量大于始动流量以后,随着流量的增加,涡轮旋转角速度也在增大,流体产生的阻力矩Trf将成为影响流量计精度的主要因素。所以,桃色APP直播软件假定Trm= 0,式(3)变为:

不同的流动状态,流体产生阻力的机理不同,下面对层流流动状态和紊流流动状态分别进行讨论。
(1)层流流动状态时的流量计特性
在层流流动状态时,流体流动阻力与流体粘度μ、涡轮旋转角速度ω成正比。而ω又与流体流量成正比,所以,流体阻力矩Trf=C1μqv,代入式(7)得:

式中:C1—常数。
在层流流动状态时,仪表系数K与流体粘度μ变化有关,若粘度不变,仪表系数K将随流量qv的增加而增加。
(2)紊流流动状态时的流量计特性
在紊流流动状态时,流体流动阻力与流体密度ρ和流量qv成正比,此时可不计流体粘度的影响,故Trf=C2 ρqv²,式中C2 为常数,代入式(7)得:

在紊流流动状态时,仪表系数K与仪表本身结构参数有关,而与流量qv、流体粘度μ等参数无关,可近似为常数。只有在这种状态下,仪表系数K才真正显示了常数的性质。仪表系数K为常数的这个区间,也即该流量计的测量范围(Qmin~Qmax)。由于层流时流体阻力矩较紊流时要小,故在层流和紊流的交界点上,特性曲线K有一个峰值,流体粘度越大时,该峰值的位置越向大流量方向移动。
3、提高精度的方法
3.1 减少机械阻力
*先应做涡轮的动平衡,因为如果涡轮的质心不在轴线上,则涡轮本身的重量会对轴承增加一个附加动力矩Tr0为:

式中:r1—涡轮质心距轴线的距离;Z1—涡轮叶片数。
轴承受附加动平衡力P2为:

式中:L1—涡轮距轴承的距离。
气流推动涡轮使轴承受径向分力P1为:

式中:e2—常数。
P1、P2均影响轴承寿命。若动平衡做得好,则P2为0,使轴承寿命延长。随着qv的增加,轴承转速也增加,则轴承寿命会缩短,从而影响流量计精度,所以流量计不允许长时间超过*大流量Qmax运行。另外,应提高加工质量,减少机械摩擦阻力,这对于提高小流量时流量计的精度十分重要。
3.2 克服流体阻力的影响
*先气动涡轮表面应光滑,以减小气体与涡轮的粘滞摩擦力。其次由Trf=C1μqv及层流流动状态时流体阻力矩Trf的特性可知:仪表系数K将随流量qv的增加而增加,流量计应避免在流体处于层流状态时工作,这样做虽然不能去除气动阻力,但可消除流体阻力对精度的不利影响。还有涡轮叶片的重叠系数不能太大,否则流体阻力将很大,使流量计精确测量的范围缩小。
3.3 减少漏气对桃色视频入口精度的影响
气动涡轮与内壁之间的间隙如果太大,则会导致大量气流从间隙处漏掉,降低流体对叶片的推动力矩Tr,从而影响流量计的精度。因此气动涡轮与内壁之间的间隙一般不大于0.5~1mm。通常用重叠系数来表示轴线上两相邻涡轮叶片相互重叠的程度,重叠系数不能太小,否则漏气量将会增加,通常重叠系数选为1~1.1。
3.4 减少速度分布畸变对流量计精度的影响
流量计的仪表特性直接受流体流动状态的影响,对其进口处的速度分布尤为敏感。进口流速的突变和流体的旋转可使测量误差达到不能允许的程度。在工程上,涡轮流量计前一般有若干倍管道直径的直管段,但往往由于直管段长度不够,进口处流体的旋转未能彻底消除,或由于安装流量计时密封垫片突出而改变了流体和涡轮叶片之间的角度,这些影响往往使仪表常数变化2%或更多。为了有效地消除旋转流,除了在阀门、接头等阻力件后安装必要的直管段外,还要保证管道及流量计密封垫片良好定位,不致突出。上游直管段长度可按下式计算:

式中:L—上游直管段长度;f—管道内摩擦系数,处于紊流状态时f=0.0175;Dg—流量计的公称直径;k—漩涡速度比,由流量计前管路情况确定(见表1)。

在安装流量计时,如果直管段的长度受到限制,则可采用整流器来整流。整流器是一束管子或一些直片。无论何种结构,都应注意其截面的均匀对称。
4、压力、温度及压缩系数的修正
气体状态方程为:
PV=ZRT (14)
式中:P—压力;T—温度;R—气体常数。
由式(14)可知,气体的体积与压力、温度及压缩系数均有关,桃色视频入口必须把工况下测得的体积数经过压力、温度修正换算为标准状态下的体积值。且当气体的温度比较低,压力比较高时,必须考虑压缩系数的影响,这样才能保证高精度的气体流量计量。换算公式为:

式中:下标0表示标准状态。
4.1 压力、温度修正的必要性
设流量计标定温度为25℃,压力为0.1MPa,实际工作时所测气体介质的温度为0℃,压力为0.1MPa,则忽略温度的影响将会导致的误差为:

假设流量计标定时,温度为25℃,压力为0.1MPa,而实际工作时所测气体介质的温度为25℃,压力为0.105MPa,则忽略压力的影响将会导致的误差为:

忽略温度、压力的影响导致的误差很大,所以必须进行温度、压力修正。且压力、温度传感器尽可能地选用高精度的产品,若流量计的精度要求为1%,则温度传感器至少应精确至0.2℃、压力传感器至少应精确至0.2%。
4.2 气体压缩系数的修正
(1)压缩系数修正的必要性压缩系数是用来衡量实际气体接近理想气体程度的参数。压缩系数随温度、压力而变化,通常用对比压力Pr和对比温度Tr的函数关系表示。Pr=P/Pm;Tr=T/Tm。如天然气的临界温度Tm为191.16K,临界压力Pm为4.64MPa。若温度0℃,压力为0.2MPa,则Pr=0.2/4.64;Tr=273/ 191.16;Z=0.995,如忽略Z值,则造成的误差为0.502%。
因为整个流量计的总体相对误差要求在1%或1.5%以内,足见压力超过0.2MPa就必须考虑压缩系数的影响。
(2)压缩系数Z的求得
Z值可根据通用曲线图确定或利用状态方程算出。为计算方便,多采用对曲线进行二次拟合的方法来近似求得Z值。在求解Z值的时候,在所研究的对比温度的范围内选取了6个均匀分布于研究范围内的Tr点为参照点(见表2),得到Z与Pr之间的简单函数关系。通过数据分析,利用*小二乘法对曲线进行拟合,得到Z求值公式如下:
Z(Pr)=A0+A1Pr+A2 (Pr)² (16)

当温度为T1时,对比温度为Tr1,压缩系数为ZT1;当温度为T2时,对比温度为Tr2,压缩系数为ZT2;实际气体测量中,气体组分的变化一般不会太大,因此设Tm、Pm值不变。若温度为T,T1<T<T2,利用线性插值可算出测量点的压缩系数ZT:

该算法具有较高的精度,且算法简单,在实际气体测量中具有较高的使用价值。
5、结论
(1)流量计应采取*佳设计方案,如涡轮叶片的重叠系数选为1~ 1.1,叶片与内壁之间的间隙为0.5~1mm。
(2)提高加工精度,合理选材,尽可能地减少机械摩擦及流体阻力对精度的影响。
(3)需根据管道流量的大小选择合适的口径,以保证流量计在其*佳流量范围内工作。
(4)需保证足够的前后直管段,如受管线的限制使直管段距离长度不够,则应在流量计前加装整流器,尽可能的减少漩涡、二次流和断面流速不均等不利因素对流量计精度的影响。
(5)流量计所测得的体积流量值必须进行温度、压力及压缩系数修正。
上一篇:涡轮流量计的测量原理及优势下一篇:使用的涡轮流量计产生故障原因的解决办法
相关资讯
- 桃色视频入口安装直管段要求
- 桃色视频入口的结构与工作原理
- 桃色视频入口的产品特点和适用范围
- 桃色视频入口选型指南与外形尺寸
- 涡轮流量计的常见故障及排除
- 涡轮流量表怎么调节
- 涡轮流量计安装直管段要求
- 涡轮流量计的适用场合与量程范围
- 涡轮流量计由什么组成
- 涡轮流量计的工作原理
- 压力对涡轮流量计精度的影响
- 桃色在线视频使用常见问题
- 桃色在线视频的使用场合
- 桃色在线视频怎么接电
- 涡轮流量计的使用范围
- 涡轮流量计安装条件与环境要求
- 涡轮流量计安装在什么位置
- 桃色在线视频设置方法
- 桃色视频入口使用环境
- 桃色视频入口使用注意事项
- 桃色视频入口怎么清洗
- 桃色视频入口适用范围
- 桃色视频入口为什么要加油
- 桃色视频入口波动大解决办法
- 桃色视频入口安装距离要求
- 桃色视频入口安装注意事项
- 桃色视频入口应用范围
- 桃色视频入口常见故障有哪些
- 提高桃色视频入口精度的方法
- 桃色视频入口精度等级

