产品目录
桃色在线视频
液体流量计
桃色成人在线视频
油流量计
桃色视频入口
椭圆齿轮流量计
电磁流量计
涡街流量计
蒸汽流量计
孔板流量计
旋进旋涡流量计
热式气体质量流量计
转子流量计
浮子流量计
靶式流量计
气体流量计
超声波流量计
磁翻板液位计
浮子液位计
浮球液位计
玻璃管液位计
雷达液位计
超声波液位计
投入式液位计
压力变送器
差压变送器
液位变送器
温度变送器
热电偶
热电阻
双金属温度计
推荐产品
联系桃色APP直播软件
- 金湖桃色APP直播软件仪表有限公司
- 联系电话:15195518515
- 在线客服:1464856260
- 电话:0517-86801009
- 传真号码:0517-86801007
- 邮箱:1464856260@qq.com
- 网址:http://www.hdl-enamel.com
- 地址:江苏省金湖县理士大道61号
桃色视频入口在化工和天然气领域的应用
发布时间:2021-03-10 06:46:05 点击次数:2147次
在天然气的采集、处理、储存、运输和分配过程中,需要数以百万计的流量计,它既是天然气供需双方贸易结算的依据,也是生产部门用气效率的主要技术指标,因此对流量计测量准确度和可靠性有很高的要求。桃色视频入口属于速度式流量计,是应用于燃气贸易计量的三大流量仪表之一。由于具有重复性好、量程范围宽、适应性强、精度高、对流量变化反应灵敏、输出脉冲信号、复现性好和体积小等特点,桃色视频入口近年来已在石油、化工和天然气等领域获得广泛的应用。
随着天然气用涡轮流量计在管道计量领域的广泛使用,天然气管道输送过程中的能耗成为不容忽视的问题,而天然气管道输送过程中的压力损失是产生能源消耗的主要原因之一。为保证天然气能顺利输送至用户端,就需要提高各压气站的输送压力并尽量减少管道输送过程中的压力损失,而各级管道上的计量流量计所造成的压力损失占有很大比重。因此,桃色视频入口的压力损失研究对节能减排和推动我国燃气计量仪表产业的发展具有较好的推动作用。
近年来,越来越多的学者采用数值模拟仿真方法对涡轮流量计进行研究,如XU、LIU、 等学者均通过数值计算形式模拟流量计内部流动,并与实验比较验证了模拟结果的正确性。应用S-A、标准k-ε、RNGk-ε、Realizable k-ε和标准k-ω这5种湍流模型对涡轮流量计进行三维数值模拟,并将应用各湍流模型得出的仿真仪表系数与实流标定值进行对比和分析,这对数值模拟计算选取湍流模型给出了一定参考。
目前,涡轮流量计的优化主要通过改良其导流件、叶轮、轴承、非磁电信号检出器等部件的结构尺寸和加工工艺,来改善流量计测量气体、高粘度流体和小流量时的特性。对降低涡轮流量传感器粘度变化敏感度进行了研究。SUN等采用了Standard k-ε湍流模型数值模拟口径为15mm的涡轮流量计的内部流动,结果表明压力损失受到前端和后端形状、导流体半径、导流体的导流片和涡轮叶片厚度的影响,虽然对桃色视频入口的流动进行实验测量和数值计算,发现前导流器的结构变化对后面各部件内的气体流动速度梯度和压力恢复也有明显影响,使总压力损失进一步放大或减小,但对流量计的其它部件未进行分析。本文将对一种型号桃色视频入口各部件的压力损失与流量的关系进行分析研究,以提出其优化思路。
1、涡轮流量计的基本结构及工作原理
本文采用80mm口径桃色视频入口转研究对象,对其进行内部流道的压力损失数值模拟。
桃色视频入口结构示意图如图1。桃色视频入口实物如图2,其中图2(a)为涡轮流量计实物图,图2(b)为涡轮流量计机芯叶轮实物图。
桃色视频入口的原理是,气体流过流量计推动涡轮叶片旋转,利用置于流体中的叶轮的旋转角速度与流体流速成比例的关系,通过测量叶轮转速来得到流体流速,进而得到管道内的流量值。涡轮流量计输出的脉冲频率f与所测体积流量qv成正比,即
式(1)中:k—流量计的仪表系数。
根据运动定律可以写出叶轮的运动方程为
式(2)中:J—叶轮的转动惯量;t—时间;ω—叶轮的转速;Tr—推动力矩;Trm—机械摩擦阻力矩;Trf—流动阻力矩;Tre—电磁阻力矩。
2、计算模型
2.1数学模型
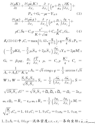
设定涡轮流量计数值模拟的工作介质为空气,流动处于湍流流动,数值模拟湍流模型采用Realizable K-ε模型,该模型适用于模拟计算旋转流动、强逆压梯度的边界层流动、流动分离和二次流等,其模型方程表示为:
各向流速平均值;a—声速;μ—动力粘性系数;υ—运动粘性系数;K—湍流动能;ε—湍流耗散率;βT—膨胀系数;ωk—角速度;—时均转动速率张量;如不考虑浮力影响Gb=0,如流动不可压缩,=0,YM=0。
2.2流体区域网格划分
使用Solidworks三维设计软件依照实物尺寸对涡轮流量计各部件进行建模及组装,简化主轴、取压孔和加油孔等对流体区域影响较小的部分。先对机芯部分做布尔运算得到纯流体区域,然后对叶轮外加包络体形成旋转区域,在机芯进出口前后均加上15倍机芯口径的直管段,以保证进出口流动为充分发展湍流。全部流体区域包括前后直管段、叶轮包络体以及机芯部分的流体区域。用Gambit软件对三维模型进行网格划分,对流体区域中的小面和尖角等难以生成网格的部分进行优化和简化处理,流体区域使用非结构化混合网格,并对机芯流道内叶轮等流动情况较复杂区域进行了局部加密,如图3。其中图3(a)为机芯流体区域网格图,图3(b)为叶轮网格图,整体网格总数量约230万。
2.3数值模拟仿真条件设置
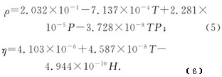
数值计算时,为方便模拟结果与实验结果的对比,环境温度、湿度和压力设置与实验工况相同,流体介质选择空气,空气的密度ρ和动力粘度η根据Rasmussen提出的计算规程拟合推导出的简化公式(5)和(6)计算获得:
式(5)(6)中:T—温度;P—压力;H—湿度。
求解器采用分离、隐式、稳态计算方法,湍流模型选择Realizable k-ε湍流模型,压力插值选择Body force weighted格式,湍流动能、湍流耗散项和动量方程均采用二阶迎风格式离散,压力与速度的耦合采用SIMPLEC算法求解,其余设置均采用Fluent默认值。计算区域管道入口采用速度入口边界条件,速度方向垂直于入口直管段截面.出口边界条件采用压力出口。叶轮包络体设置为动流动区域,其余为静流动区域,采用interface边界条件转分界面,对于旋转部分和静止部分之间的耦合采用多重参考坐标模型(MRF)。叶轮采用滑移边界条件且相对于附近旋转流体区域速度为零。叶轮转速是通过使用FLUENT软件中的TurboTopol-ogy与Turbo Report功能,不断调整叶轮转速,观察叶轮转速是否达到力矩平衡来确定的。
3、数值模拟结果分析
在流量计流量范围内选取了13m3/h、25m3/h、62.5m3/h、100m3/h、175m3/h、250m3/h这6个流量点进行同工况环境数值模拟,得到桃色视频入口的内部流场和压力分布等数据。进口横截面取于前整流器前10mm处,出口横截面取于后导流体后10mm处。计算涡轮流量计进出口横截面上的压力差,即得到流量计的压力损失。图4为流量与压力损失之间的关系曲线,图中实验值是在工况条件下使用音速喷嘴法气体流量标准装置测得。
根据图4中压力损失随流量的变化趋势,可以将流量与压力损失之间的关系拟合曲线为二次多项式,其表达式为
这与流量计的压力损失计算公式(8)趋势相符,均为二次函数,且数值模拟结果与实验结果吻合得较好,说眯轮流量计的内部流场数值模拟方法及结果是可行且可靠的。流量计的压力损失计算公式为
式(8)中:ΔP—压力损失;α—压力损失系数;υ—管道平均流速。
以流量Q=250m3/h的数值模拟计算结果为例进行涡轮流量计内部流场及压力场的分析,图5为涡轮流量计轴向剖面静压分布图,前导流器前后的压力场分布较均匀且压力梯度较小,在机芯壳体与叶轮支座连接凸台处压力有所增加,连接面后压力又逐渐减小,故认为流体流经叶轮支座产生压力损失的主要原因是连接处存在凸台,导致流场出现较大变化,不能平滑过渡,建议将叶轮支座与机芯壳体的连接改为圆弧线型或流线型。观察图5和图6,当流体流经叶轮从后导流器流出涡轮流量计时,压力梯度变化明显,存在负压区域并造成很大的压降,在后导流器凸台及流量计出口处速度变化明显,由于气流通过后导流器后流道突扩,在后导流器背面形成明显的低速涡区,产生了漩涡二次流。
结合图7、图8流量计轴向剖面和出口横截面的总压及速度分布图,其速度分布与压力分布相似,流量计流道内速度分布较均匀的区域其压力梯度变化也较小,即流道内速度的分布和变化与压力损失大小相关。由流量计轴向剖面和出口横截面的速度及压力分布图可以看出,流量计后导流器处产生的漩涡二次流影响了出口横截面处的速度及压力分布
流量计各部件的压力损失随流量变化的趋势与流量计总压力损失随流量的变化趋势相同,其拟合公式为系数不同的二次多项式。各部件的压力损失与流量呈二次函数关系,随着流量的增加,压力损失显著增加。
观察图10各部件压力损失百分比图,可见前整流器、前导流器和机芯壳体处的压力损失很小,叶轮支座处压力损失约占总压力损失的1/4。前整流器所占压力损失比例在各流量点基本保持不变,前导流器和机芯壳体处的压力损失随流量的增加其比例略有降低,叶轮支座处压力损失随流量的增加其比例略有增加,但总体上受流量影响不大。叶轮处的压力损失随流量从13m3/h增加至250m3/h,其比例从15.88%降至8.71%,降幅明显,后导流器处的压力损失占总压力损失的大半,随着流量从13m3/h增加至250m3/h其压力损失比例由43.77%升至55.83%,增幅明显。总之,后导流器、叶轮支座和叶轮是流体流经涡轮流量计产生压力损失的主要影响部件,可通过优化其结构以降低涡轮流量计的总压力损失。
4、结语
本文采用Fluent软件对一口径为80mm的涡轮流量计内部进行了数值模拟计算,分析内部流场、压力场及各部件产生的压力损失,得出以下结论:
1)漩涡二次流是产生能量消耗的主要原因,故建议对涡轮流量计叶轮支座及后导流器进行几何参数的优化,将其凸台边缘改为流线型以减少。流道突扩的影响,减少后导流器叶片厚度并增加其长度及数量以减弱气体螺旋状流动,减弱漩涡二次流,达到降低流量计压力损失的目的。
2)分析各部件对压力损失的影响,其压力损失与流量成二次函数关系。后导流器相对于其他部件是压力损失的主要因素,约占总压力损失的一半,随着流量的增加其压力损失占总压力损失的比例上升了12.06%。叶轮支座的压力损失约占总压力损失的1/4,其压力损失比例随流量的增加基本不变。随着流量的增加叶轮产生的压力损失比例降幅明显。通过数值模拟分析得出速度的分布和变化与压力损失大小相关,通过优化流量计流道内的速度分布可降低流量计的压力损失,后续相关的涡轮流量计优化研究可从优化其流道内速度分布入手。
相关资讯
- 桃色视频入口安装直管段要求
- 桃色视频入口的结构与工作原理
- 桃色视频入口的产品特点和适用范围
- 桃色视频入口选型指南与外形尺寸
- 桃色视频入口使用环境
- 桃色视频入口使用注意事项
- 桃色视频入口怎么清洗
- 桃色视频入口适用范围
- 桃色视频入口为什么要加油
- 桃色视频入口波动大解决办法
- 桃色视频入口安装距离要求
- 桃色视频入口安装注意事项
- 桃色视频入口应用范围
- 桃色视频入口常见故障有哪些
- 提高桃色视频入口精度的方法
- 桃色视频入口精度等级
- 桃色视频入口的技术参数
- 桃色视频入口不准原因
- 桃色视频入口的优缺点
- 桃色视频入口的用途
- 桃色视频入口接线图
- 桃色视频入口种类
- 用桃色视频入口测量天然气流量
- 桃色视频入口的优点
- 桃色视频入口使用方法
- 桃色视频入口的选型表
- 桃色视频入口结构图
- 影响桃色视频入口测量精度的因素及措施
- 桃色视频入口维护保养
- 桃色视频入口特点

