产品目录
桃色在线视频
液体流量计
桃色成人在线视频
油流量计
桃色视频入口
椭圆齿轮流量计
电磁流量计
涡街流量计
蒸汽流量计
孔板流量计
旋进旋涡流量计
热式气体质量流量计
转子流量计
浮子流量计
靶式流量计
气体流量计
超声波流量计
磁翻板液位计
浮子液位计
浮球液位计
玻璃管液位计
雷达液位计
超声波液位计
投入式液位计
压力变送器
差压变送器
液位变送器
温度变送器
热电偶
热电阻
双金属温度计
推荐产品
联系桃色APP直播软件
- 金湖桃色APP直播软件仪表有限公司
- 联系电话:15195518515
- 在线客服:1464856260
- 电话:0517-86801009
- 传真号码:0517-86801007
- 邮箱:1464856260@qq.com
- 网址:http://www.hdl-enamel.com
- 地址:江苏省金湖县理士大道61号
高压智能一体化桃色视频入口的研制
发布时间:2021-01-17 15:33:30 点击次数:2220次
摘要:阐述高压智能一体化桃色视频入口研制的意义和设计依据;并介绍高压涡轮流量计的工作原理、结构特点、性能测试、计量特性等,以此证明研制的高压智能一体化桃色视频入口可以作为贸易计量应用在高压管线上。
天然气作为重要的洁净能源,近几年在城市中的应用迅猛发展。在当今市场经济的体制下,人们对经济效益的日益重视,作为供气、用气双方进行贸易结算依据的计量问题日益突显起来,特别对高压天然气的计量形势尤为严峻,“计量就是计钱”的观念深入人心。而**能源供求日益紧张,人们都十分关心并寻求一种精度高,适应性强的流量计来测量天然气流量,以减少、避免天然气贸易纠纷。目前国内涡轮流量计生产厂家均是以中低压为主,对高压的涉及较少,规格种类繁多、结构复杂。供油系统、防冲击结构等因素均是直接影响流量计使用寿命。与此同时,我司为了顺应**能源安全的战略部署,保证**能源输运安全,响应建设“创新型”**的发展战略,开发拥有自主知识产权且满足工业性应用要求的高精度高压涡轮流量计。
1 涡轮流量计的工作原理与流量特性
1.1 工作原理
智能一体化桃色视频入口是一种带机械计数器并用于精确测量气体流量的流量计,其工作原理如图1 所示:当气流进入流量计时,*先经过特殊整流器整流并加速,在流体的作用下,涡轮克服阻力矩开始转动。当力矩达到平衡时涡轮转速稳定,此时其转速与气体工况流量成正比,并通过齿轮减速传动以及磁耦合联接驱动字轮计数器转动,直接累积气体的工况体积总量。

因通过涡轮的流量与涡轮转速成正比,高频信号脉冲输出频率 与涡轮转速存在下列
|=nZ

对一定精度的流量计而言,在一定的流量范围内,其仪表系数K 应接近常数。理论上仪表系数K 与体积流量q成如下关系,即

式中:K—仪表系数,为工况条件下每立方米通过流量传感器时输出的脉冲数,1/m3 ;
q—工况体积流量m3 s 。
综上所述,仪表系数K 在实际上除涡轮导程、叶片数、叶片宽度、螺旋升角、流量计流体通道等结构因素有关外,还与介质流体粘性、轴承本身阻尼、轴承润滑油粘度等有关,若以上其中一种或几种相关因素发生改变,则仪表系数K就会相应改变。故每台流量计均应通过检定得出仪表系数。
1.2 流量特性介绍
K—q关系曲线称为涡轮流量计的流量特性曲线。理论上, K—q关系应是一条水平直线,但实际上由于在不同的流动状态下,流体产生阻力机理不同,效果也不同,所以使特性曲线成为曲线形状。 以DN50 为例,如图2 所示。

由图2 可见,仪表系数可分为二段,即线性段和非线性段。在非线性段, 实际特性受轴承摩擦力、流体粘性阻力影响较大。当流量低于Qmin 时,仪表系数随着流量迅速变化。压力损失与流量的平方成正比关系。通常线性段约为工作段的2/3,其特性与涡轮结构参数及流体粘性有关。随流量的变化其仪表系数K 也会有一定的变化,但变化不大,通常将其变化幅度称为流量计的计量准确度。对于产品设计而言,期望能将线性段的流量范围拓展,一台流量计能覆盖同口径的不同流量范围,使得产品量程比变宽从而降低生产管理与生产批量加工成本。对于1.0 级的高压智能一体化桃色视频入口,以Qt(0.2Qmax)为分界流量点,将计量线性分为两段,其中一段的*大允许误差为±2%,而另一段的*大允许误差为±1% 。按图2 所示,通常每台涡轮流量计均有较为相似特性曲线,若将可测量流量范围做宽,就能在同口径不同流量范围进行分段截取,以实现一台流量计能覆盖同口径的不同流量范围。
2 高压涡轮流量计研制
高压智能一体化桃色视频入口主要是由锻钢壳体、表芯总成、机械显示计数器、高压油泵、高低频信号输出(按客户要求选配)等组成;根据EN12261 要求,设计高压涡轮流量计内部结构、外观等并对壳体与轴承进行设计计算;研究高压供油系统的结构设计,避免轴承润滑油回流等不良现象;研究涡轮防冲击结构设计,缓冲因流量波动引起瞬间冲击力;研究双向增计数的新型机械计数器,主要解决了流量计由于其单向计数的特性,而导致倒置安装时出现计数不增反减的问题。
2.1 壳体与轴承设计计算
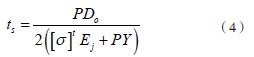
高压智能一体化桃色视频入口壳体作为主要的承压零部件,应进行强度校核计算。并可将其视为钢管,并根据标准GB50316 与GB150 中相关规定,计算壁厚ts 计算公式:

式中 ts—计算厚度(mm);
P—设计压力(MPa);
Do—管子外径(mm);
—在设计温度下材料的许用应力(MPa);
Ej —焊接接头系数;
Y—计算系数。
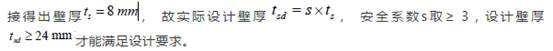
以DN50-PN100 为例,将壳体设计参数代入(4)中直

而对于转速较高的轴承,轴承可靠度为90%,轴承材料为常规材料,其基本额定动载荷计算公式如下[3]:

将选型轴承的参数代入(5)、(6)中直接得出基本额定动载荷C,而选型轴承的动载荷Cr 必须大于基本额定动载荷C 才能满足设计要求。
2.2 高压供油系统
流量计所需轴承润滑油必须在内部密封、持久、免维护或者采用外部注入的方式。高压涡轮流量计结构设计应采取外部注入方式进行润滑轴承。该方式必须克服高压气体对润滑油管反作用力,压力越高,反作用力越强。对供油系统提出更高的要求,目前行业内的中低压供油结构已不适用,可能会引起润滑油回流或密封圈提前失效等问题。
应研制一种高压供油系统,其主要是通过手动油泵将润滑油从油杯注入注油腔中,而注油腔中的润滑油是通过两只阻回流单向阀以及内置供油管路将润滑油直接注入需润滑轴承附近的储油区内;而手动油泵是由手柄、油泵座、油杯、
活塞、O 型密封圈等组成;该结构设计的亮点在于采用两只单向阀其一内置油泵,另一嵌入管道,实现双重阻回流功能,并提高高压管道供油可靠性;而且将所有油管内置,该供油管路设计结构简单、紧凑,实现一体化润滑,顺利解决生产过程与搬运物流对外部引油管路造成伤害;
2.3 涡轮防冲击与高频信号检测系统
为了减缓流量波动、管道震动对涡轮生产瞬间冲击力,研究计量芯的内部结构。通常计量芯中前后轴承均是径向旋转作用,对瞬间冲击力的承受能力有限,若操作不当,对流量计寿命与精度影响甚大。考虑以上因素,对计量芯内部结构进行改进。将主轴的前后轴承作用力分开,前轴承为径向旋转作用,后轴承为轴向推力作用,后轴承也可与推力轴承或波纹垫圈配合使用。能有效的抑制流体瞬间冲击力,并配合涡轮形成反向推力,能较快将涡轮调整至平衡状态,从而改善涡轮流量计的寿命与精度。
目前国内外取高频信号传感器频率*高大概为2000Hz,而且大部分制造商采取穿过流体通道的方式插入计量芯内部实现信号采取。此方式会引起高、低频检定的示值误差不一致。而我司目前使用的新型高频旋转检测传感器是通过专业生产厂家特殊定制,所采集的信号是通过涡轮的叶片放大的,对流体通道无任何影响,其频率*高能达到3 500 Hz 或者更高。通过该传感技术的应用,并采用新型信号处理放大技术和独特的滤波技术,有效地剔除压力波动和管道振动所产生的干扰信号,提高流量计的抗干扰能力。从而克服了因频率高而丢失信号的难题,提高产品对小流量的灵敏度和精度,更便于用户高频检定操作等。
2.4 双向增计数的新型机械计数器
目前市场上的机械计数器计数均为正向进气时计数器正向计数,反向进气时计数器反走。而带单向计数功能的涡轮流量计是一种能够在涡轮流量计左进右出进气、垂直安装、水平安装条件下均能满足单向计数(单向计数可分为正向计数与反向计数;按目前市场需求,此单向计数便是通常所说的正向计数)。然而,在燃气计量市场中有部分投机分子为了盗气等原因将涡轮流量计倒置安装,使得单向计数器的计数不增反退。为了避免上述问题再次出现,设计具有自主知识产权带双向增计数功能的新型涡轮流量计,其中包括涡轮流量计基表、上磁耦合组件、主轴、主锥齿轮、锥齿轮组件和计数字轮组件等。双向增计数功能实现如图3 所示,主要是通过增加单向轴承的数量,并对称分布在主锥齿轮的两侧,通过单向轴承与锥齿轮的紧配合,实现正反进气情况下始终有一只单向轴承通过其单向特性带动驱动轴转动,并由驱动轴带动另一只因反向而发生自锁的单向轴承转动,保证驱动轴始终沿一个方向转动,从而保证即使倒置安装,机械计数也会只增不减。该结构设计也能有效解决因管道震动、齿轮反向间隙而引起机械显示不整齐等问题。

3 高压涡轮流量计的性能测试
该流量计的研制以欧盟标准EN 12261:2002(Measurement of natural gas flow by turbine meters) 与OIMLR137-1 作为产品设计依据并严格按照标准进行性能测试,该性能测试包括:耐久性试验、弯矩与扭矩试验、短时过载试验、扰动试验、高低温性能测试等;本文详细介绍耐久性试验、弯矩与扭矩试验
3.1 耐久性测试
涡轮流量计进行耐久性测试的目的在于确认流量计在指定条件下、额定的使用寿命里的计量性能是否符合上述的分段要求,即。

还需确认各种安装位置是否影响测试样机的计量性能,安装位置可分为:水平方向、垂直向上与垂直向下;而且不同安装位置样机在耐久性测试前后的指示误差的变化量不得超过*大允许误差的1/3。
整个耐久性测试以DN80-G100 样机为例进行说明,*先是将三台样机分别安装在不同安装位置的同一管道中,其管道是由0.8 MPa 压缩气体为介质以样机*大流量进行循环运行,以每1 000 h 为运行周期将样机拆卸并在标准气体流量装置做相应性能测试,经过7 000 h 运行如图4 所示。

从图4 分析可知:
①该测试样机满足耐久性测试要求,指示误差的变化量未超过*大允许误差的1/3。
②轴承经过长时间运行磨合更趋于稳定,长期运行后非线性段更趋于理想特性曲线。
3.2 弯矩与扭矩测试
对于高压智能一体化桃色视频入口来说,还应当详细说明流量计所需求的弯曲与扭力力矩的保护水平。此数据是通过试验直接获得,弯矩测试装置如图5-a 所示,直管段1 连接气体流量标准装置,在直管段2 预先确定的力臂L 位置附加垂直方向的力F 而形成弯矩M;扭矩测试装置如图5-b 所示,直管段1 连接气体流量标准装置,在直管段2 侧面预先确定的力臂L 位置附加垂直方向的力F 而形成扭矩T。而弯矩与扭矩均是作用于流量计入口与出口法兰处。由于此项测试主要针对流量计强度的校核,为了更有说服力、提高可靠性,故将铝合金壳体的中低压涡轮流量计DN80-G100用于此次测试。而整个测试过程是将砝码F 按EN12261 表10 中要求1 倍、2 倍直至做到4 倍(即力矩为3 040 N·m),未发现流量计壳体有任何异常变化。而测试结果表明在施加砝码F 之前、过后得到的指示误差与施加砝码F 之前的指示误差未有明显变化。

3.3 *三方高压实流检定测试
为了确认高压涡轮流量计在高压气体介质中计量性能是否满足工业贸易计量要求,将多台DN80-G160 样机发往*三方检测机构**石油天然气大流量计量站南京分站进行6 MPa 实流检定;检定合格,准确度等级为1.0 级,相对于常压检定数据样机的仪表系数K 有所偏移,但仍在允许误差范围内。其中南京分站使用小流量标准装置对编号为131228041 的DN80 涡轮流量计进行检定,该样机在常压与高压检定比对数据如图6 所示。而流量计的仪表系数K 的计算如下:



根据上式(7)、(8) 并结合图6 可得出。
①该样机完全满足工业贸易计量的指示误差要求。
②高压相对于常压整体线性会向正向偏移+0.65%。
③高压相对于常压整体线性较为平稳,而且线性误差有向理想误差曲线靠拢的趋势。
根据实际流量计的所测得仪表系数K 更换对应齿轮传动比,使机械表头显示部分和齿轮转动发出低频脉冲输出均与高频脉冲输出匹配,实际三者关系如下:

在机械设计当中,为了降低齿轮模具的投入成本,应通过试验确认流量计K与i ,以控制i在不同口径不同流量范围内的可调区间均是一致的。
4 结束语
研制成功的高压涡轮流量计顺利通过浙江省技术监督检测研究院各种性能测试并获得相应型式批准**,该流量计的各项指标和技术性能完全满足工业贸易计量的要求,而且打破国外高压长输管线领域的技术垄断,为以后积累高压长输管线长期运行经验奠定坚实的基础。
天然气作为重要的洁净能源,近几年在城市中的应用迅猛发展。在当今市场经济的体制下,人们对经济效益的日益重视,作为供气、用气双方进行贸易结算依据的计量问题日益突显起来,特别对高压天然气的计量形势尤为严峻,“计量就是计钱”的观念深入人心。而**能源供求日益紧张,人们都十分关心并寻求一种精度高,适应性强的流量计来测量天然气流量,以减少、避免天然气贸易纠纷。目前国内涡轮流量计生产厂家均是以中低压为主,对高压的涉及较少,规格种类繁多、结构复杂。供油系统、防冲击结构等因素均是直接影响流量计使用寿命。与此同时,我司为了顺应**能源安全的战略部署,保证**能源输运安全,响应建设“创新型”**的发展战略,开发拥有自主知识产权且满足工业性应用要求的高精度高压涡轮流量计。
1 涡轮流量计的工作原理与流量特性
1.1 工作原理
智能一体化桃色视频入口是一种带机械计数器并用于精确测量气体流量的流量计,其工作原理如图1 所示:当气流进入流量计时,*先经过特殊整流器整流并加速,在流体的作用下,涡轮克服阻力矩开始转动。当力矩达到平衡时涡轮转速稳定,此时其转速与气体工况流量成正比,并通过齿轮减速传动以及磁耦合联接驱动字轮计数器转动,直接累积气体的工况体积总量。

因通过涡轮的流量与涡轮转速成正比,高频信号脉冲输出频率 与涡轮转速存在下列
|=nZ

对一定精度的流量计而言,在一定的流量范围内,其仪表系数K 应接近常数。理论上仪表系数K 与体积流量q成如下关系,即

式中:K—仪表系数,为工况条件下每立方米通过流量传感器时输出的脉冲数,1/m3 ;
q—工况体积流量m3 s 。
综上所述,仪表系数K 在实际上除涡轮导程、叶片数、叶片宽度、螺旋升角、流量计流体通道等结构因素有关外,还与介质流体粘性、轴承本身阻尼、轴承润滑油粘度等有关,若以上其中一种或几种相关因素发生改变,则仪表系数K就会相应改变。故每台流量计均应通过检定得出仪表系数。
1.2 流量特性介绍
K—q关系曲线称为涡轮流量计的流量特性曲线。理论上, K—q关系应是一条水平直线,但实际上由于在不同的流动状态下,流体产生阻力机理不同,效果也不同,所以使特性曲线成为曲线形状。 以DN50 为例,如图2 所示。

由图2 可见,仪表系数可分为二段,即线性段和非线性段。在非线性段, 实际特性受轴承摩擦力、流体粘性阻力影响较大。当流量低于Qmin 时,仪表系数随着流量迅速变化。压力损失与流量的平方成正比关系。通常线性段约为工作段的2/3,其特性与涡轮结构参数及流体粘性有关。随流量的变化其仪表系数K 也会有一定的变化,但变化不大,通常将其变化幅度称为流量计的计量准确度。对于产品设计而言,期望能将线性段的流量范围拓展,一台流量计能覆盖同口径的不同流量范围,使得产品量程比变宽从而降低生产管理与生产批量加工成本。对于1.0 级的高压智能一体化桃色视频入口,以Qt(0.2Qmax)为分界流量点,将计量线性分为两段,其中一段的*大允许误差为±2%,而另一段的*大允许误差为±1% 。按图2 所示,通常每台涡轮流量计均有较为相似特性曲线,若将可测量流量范围做宽,就能在同口径不同流量范围进行分段截取,以实现一台流量计能覆盖同口径的不同流量范围。
2 高压涡轮流量计研制
高压智能一体化桃色视频入口主要是由锻钢壳体、表芯总成、机械显示计数器、高压油泵、高低频信号输出(按客户要求选配)等组成;根据EN12261 要求,设计高压涡轮流量计内部结构、外观等并对壳体与轴承进行设计计算;研究高压供油系统的结构设计,避免轴承润滑油回流等不良现象;研究涡轮防冲击结构设计,缓冲因流量波动引起瞬间冲击力;研究双向增计数的新型机械计数器,主要解决了流量计由于其单向计数的特性,而导致倒置安装时出现计数不增反减的问题。
2.1 壳体与轴承设计计算
高压智能一体化桃色视频入口壳体作为主要的承压零部件,应进行强度校核计算。并可将其视为钢管,并根据标准GB50316 与GB150 中相关规定,计算壁厚ts 计算公式:

式中 ts—计算厚度(mm);
P—设计压力(MPa);
Do—管子外径(mm);
—在设计温度下材料的许用应力(MPa);
Ej —焊接接头系数;
Y—计算系数。
以DN50-PN100 为例,将壳体设计参数代入(4)中直

而对于转速较高的轴承,轴承可靠度为90%,轴承材料为常规材料,其基本额定动载荷计算公式如下[3]:

将选型轴承的参数代入(5)、(6)中直接得出基本额定动载荷C,而选型轴承的动载荷Cr 必须大于基本额定动载荷C 才能满足设计要求。
2.2 高压供油系统
流量计所需轴承润滑油必须在内部密封、持久、免维护或者采用外部注入的方式。高压涡轮流量计结构设计应采取外部注入方式进行润滑轴承。该方式必须克服高压气体对润滑油管反作用力,压力越高,反作用力越强。对供油系统提出更高的要求,目前行业内的中低压供油结构已不适用,可能会引起润滑油回流或密封圈提前失效等问题。
应研制一种高压供油系统,其主要是通过手动油泵将润滑油从油杯注入注油腔中,而注油腔中的润滑油是通过两只阻回流单向阀以及内置供油管路将润滑油直接注入需润滑轴承附近的储油区内;而手动油泵是由手柄、油泵座、油杯、
活塞、O 型密封圈等组成;该结构设计的亮点在于采用两只单向阀其一内置油泵,另一嵌入管道,实现双重阻回流功能,并提高高压管道供油可靠性;而且将所有油管内置,该供油管路设计结构简单、紧凑,实现一体化润滑,顺利解决生产过程与搬运物流对外部引油管路造成伤害;
2.3 涡轮防冲击与高频信号检测系统
为了减缓流量波动、管道震动对涡轮生产瞬间冲击力,研究计量芯的内部结构。通常计量芯中前后轴承均是径向旋转作用,对瞬间冲击力的承受能力有限,若操作不当,对流量计寿命与精度影响甚大。考虑以上因素,对计量芯内部结构进行改进。将主轴的前后轴承作用力分开,前轴承为径向旋转作用,后轴承为轴向推力作用,后轴承也可与推力轴承或波纹垫圈配合使用。能有效的抑制流体瞬间冲击力,并配合涡轮形成反向推力,能较快将涡轮调整至平衡状态,从而改善涡轮流量计的寿命与精度。
目前国内外取高频信号传感器频率*高大概为2000Hz,而且大部分制造商采取穿过流体通道的方式插入计量芯内部实现信号采取。此方式会引起高、低频检定的示值误差不一致。而我司目前使用的新型高频旋转检测传感器是通过专业生产厂家特殊定制,所采集的信号是通过涡轮的叶片放大的,对流体通道无任何影响,其频率*高能达到3 500 Hz 或者更高。通过该传感技术的应用,并采用新型信号处理放大技术和独特的滤波技术,有效地剔除压力波动和管道振动所产生的干扰信号,提高流量计的抗干扰能力。从而克服了因频率高而丢失信号的难题,提高产品对小流量的灵敏度和精度,更便于用户高频检定操作等。
2.4 双向增计数的新型机械计数器
目前市场上的机械计数器计数均为正向进气时计数器正向计数,反向进气时计数器反走。而带单向计数功能的涡轮流量计是一种能够在涡轮流量计左进右出进气、垂直安装、水平安装条件下均能满足单向计数(单向计数可分为正向计数与反向计数;按目前市场需求,此单向计数便是通常所说的正向计数)。然而,在燃气计量市场中有部分投机分子为了盗气等原因将涡轮流量计倒置安装,使得单向计数器的计数不增反退。为了避免上述问题再次出现,设计具有自主知识产权带双向增计数功能的新型涡轮流量计,其中包括涡轮流量计基表、上磁耦合组件、主轴、主锥齿轮、锥齿轮组件和计数字轮组件等。双向增计数功能实现如图3 所示,主要是通过增加单向轴承的数量,并对称分布在主锥齿轮的两侧,通过单向轴承与锥齿轮的紧配合,实现正反进气情况下始终有一只单向轴承通过其单向特性带动驱动轴转动,并由驱动轴带动另一只因反向而发生自锁的单向轴承转动,保证驱动轴始终沿一个方向转动,从而保证即使倒置安装,机械计数也会只增不减。该结构设计也能有效解决因管道震动、齿轮反向间隙而引起机械显示不整齐等问题。

3 高压涡轮流量计的性能测试
该流量计的研制以欧盟标准EN 12261:2002(Measurement of natural gas flow by turbine meters) 与OIMLR137-1 作为产品设计依据并严格按照标准进行性能测试,该性能测试包括:耐久性试验、弯矩与扭矩试验、短时过载试验、扰动试验、高低温性能测试等;本文详细介绍耐久性试验、弯矩与扭矩试验
3.1 耐久性测试
涡轮流量计进行耐久性测试的目的在于确认流量计在指定条件下、额定的使用寿命里的计量性能是否符合上述的分段要求,即。

还需确认各种安装位置是否影响测试样机的计量性能,安装位置可分为:水平方向、垂直向上与垂直向下;而且不同安装位置样机在耐久性测试前后的指示误差的变化量不得超过*大允许误差的1/3。
整个耐久性测试以DN80-G100 样机为例进行说明,*先是将三台样机分别安装在不同安装位置的同一管道中,其管道是由0.8 MPa 压缩气体为介质以样机*大流量进行循环运行,以每1 000 h 为运行周期将样机拆卸并在标准气体流量装置做相应性能测试,经过7 000 h 运行如图4 所示。

从图4 分析可知:
①该测试样机满足耐久性测试要求,指示误差的变化量未超过*大允许误差的1/3。
②轴承经过长时间运行磨合更趋于稳定,长期运行后非线性段更趋于理想特性曲线。
3.2 弯矩与扭矩测试
对于高压智能一体化桃色视频入口来说,还应当详细说明流量计所需求的弯曲与扭力力矩的保护水平。此数据是通过试验直接获得,弯矩测试装置如图5-a 所示,直管段1 连接气体流量标准装置,在直管段2 预先确定的力臂L 位置附加垂直方向的力F 而形成弯矩M;扭矩测试装置如图5-b 所示,直管段1 连接气体流量标准装置,在直管段2 侧面预先确定的力臂L 位置附加垂直方向的力F 而形成扭矩T。而弯矩与扭矩均是作用于流量计入口与出口法兰处。由于此项测试主要针对流量计强度的校核,为了更有说服力、提高可靠性,故将铝合金壳体的中低压涡轮流量计DN80-G100用于此次测试。而整个测试过程是将砝码F 按EN12261 表10 中要求1 倍、2 倍直至做到4 倍(即力矩为3 040 N·m),未发现流量计壳体有任何异常变化。而测试结果表明在施加砝码F 之前、过后得到的指示误差与施加砝码F 之前的指示误差未有明显变化。

3.3 *三方高压实流检定测试
为了确认高压涡轮流量计在高压气体介质中计量性能是否满足工业贸易计量要求,将多台DN80-G160 样机发往*三方检测机构**石油天然气大流量计量站南京分站进行6 MPa 实流检定;检定合格,准确度等级为1.0 级,相对于常压检定数据样机的仪表系数K 有所偏移,但仍在允许误差范围内。其中南京分站使用小流量标准装置对编号为131228041 的DN80 涡轮流量计进行检定,该样机在常压与高压检定比对数据如图6 所示。而流量计的仪表系数K 的计算如下:



根据上式(7)、(8) 并结合图6 可得出。
①该样机完全满足工业贸易计量的指示误差要求。
②高压相对于常压整体线性会向正向偏移+0.65%。
③高压相对于常压整体线性较为平稳,而且线性误差有向理想误差曲线靠拢的趋势。
根据实际流量计的所测得仪表系数K 更换对应齿轮传动比,使机械表头显示部分和齿轮转动发出低频脉冲输出均与高频脉冲输出匹配,实际三者关系如下:

在机械设计当中,为了降低齿轮模具的投入成本,应通过试验确认流量计K与i ,以控制i在不同口径不同流量范围内的可调区间均是一致的。
4 结束语
研制成功的高压涡轮流量计顺利通过浙江省技术监督检测研究院各种性能测试并获得相应型式批准**,该流量计的各项指标和技术性能完全满足工业贸易计量的要求,而且打破国外高压长输管线领域的技术垄断,为以后积累高压长输管线长期运行经验奠定坚实的基础。

