产品目录
桃色在线视频
液体流量计
桃色成人在线视频
油流量计
桃色视频入口
椭圆齿轮流量计
电磁流量计
涡街流量计
蒸汽流量计
孔板流量计
旋进旋涡流量计
热式气体质量流量计
转子流量计
浮子流量计
靶式流量计
气体流量计
超声波流量计
磁翻板液位计
浮子液位计
浮球液位计
玻璃管液位计
雷达液位计
超声波液位计
投入式液位计
压力变送器
差压变送器
液位变送器
温度变送器
热电偶
热电阻
双金属温度计
推荐产品
联系桃色APP直播软件
- 金湖桃色APP直播软件仪表有限公司
- 联系电话:15195518515
- 在线客服:1464856260
- 电话:0517-86801009
- 传真号码:0517-86801007
- 邮箱:1464856260@qq.com
- 网址:http://www.hdl-enamel.com
- 地址:江苏省金湖县理士大道61号
软化水计量表安装时直管段长度与测量精度的关系
发布时间:2020-11-24 03:29:25 点击次数:2084次
软化水计量表是吸取了国内外流量仪表先进技术优化设计,具有结构简单、安装便捷、轻巧、精度高、复现性好、稳定性好、安装维护使用方便等特点的新一代涡轮流量计,若与具有特殊功能的显示仪表配套,还可以进行定量控制、超量报警等,是测量甲醇、白酒、乙醇*理想的仪表。我公司涡轮流量产品本身具备现场显示功能,也可将流量信号以电流信号的形式远传输出,特别适用于与二次显示仪表连接。
对于测量精度和误差影响桃色APP直播软件也没有实际的经验数据,如果测量参数用于过程控制,在工艺能够接受的范围内的误差都是可以的,如果是用于计量,如水,天然气,油等则应达到其标称精度,另外用于计量的仪表计量局会对其进行验收,不达标的不会通过。
如果有条件建议直管段留长一些。
一般孔板的为前10D后5D,也有为前24D后7D的时候,*好是前直管段30~50D为好
软化水计量表为前15D后5D
涡街流量计为前15-20D后5D
对于质量流量计无特殊要求
转子、椭圆齿轮流量计也无特殊要求
不过一般直管段*好是有,长度尽可能的长。

软化水计量表是一种速度式流量仪表,由于具有结构紧凑、测量精度高、反应速度快、测量范围广、价格低廉和安装方便等优点,而得到广泛应用。对于贸易结算计量,流量计的精确度是至关重要的。
软化水计量表在测量过程中对直管段的一般性要求为:流量计必须水平安装在管道上(管道倾斜在5以内),安装时流量计轴线应与管道轴线同心,流向要一致。 流量计上游管道长度应有不小于2D的等径直管段,如果安装场所充许建议上游直管段为20D、下游为5D。
影响软化水计量表精度的主要外部因素是流体的流动状态,软化水计量表特性曲线要保持良好的线性关系,流过流量计的流体应为充分发展的流型。对流量计的精度和直管段的预测,为不同精度要求的软化水计量表选择适当长度的直管段提供了理论参考。
影响软化水计量表精度的主要外部因素是流体的流动状态,软化水计量表特性曲线要保持良好的线性关系,流过流量计的流体应为充分发展的流型。
1.旋转系数与下游直管段长度之间的关系旋转流的旋转强度用旋转系数来表示,旋转系数定义为角动量通量与轴向动量通量的比值:

式中: w———周向速度;
u———轴向速度;
R———管道半径;
A———流体流过的横截面积;
ρ———密度。
对于圆管内的旋转流,在r= 0.95R处的旋转
角度*大,即:

采用多项迭代的方法,可编程计算出在某个X值时(X为圆管直径D的倍数)满足一定精度的Sw值:

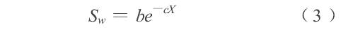
常数b和c与流体性质、雷诺数和流量有关,需要通过实验确定。对于不可压缩流体, b= 0.030~ 0.085, c= 0.10~ 0.50。一般来说,流量越大,旋转流的衰减越大,由式(3)可以看出,旋转流发生后的直管段越长,旋转流的强度越弱,对软化水计量表精度的影响越小。
2.实验设计与结果分析
为了在实验过程中能得到理想的旋转流体,实验中采用了模拟多种强度旋转流的发生器,旋转流发生器安装在流量计上游来流的起始点处。实验采用称量法,记录电子称上的质量脉冲数
N,N乘以质量脉冲常数(0.08333),即得到质量值(kg),同时记录时间和涡轮变送器的脉冲数,在每个流量点重复做三次,记录三组数据,共选择5个流量点来覆盖软化水计量表的测量量程。流量Q= 0.08333N/t,仪表系数为:

仪表系数K与旋转数Sw成线性关系,仪表精度为:

其中α、d均为待定系数。根据实验所得多组脉冲数和流量数据,可计算出仪表精度δ值。按δ- X方程及δ和X数据进行*小二乘法回归,可确定α和d的数值。一般来说,对不可压缩流体,α= 1.15~ 2.20, d= 0.016~ 0.11。
3.直管段长度和软化水计量表精度的初步预测在工程设计中,根据流体性质、流量和雷诺数确定α和d值。这样,按照式(5)就可以依不同的流量计精度要求,对直管段长度进行初步预测,或确定直管段长度后,对流量计的精度做初步预测。当δ= 0.2%时,不同流量下所需直管段长度见表1。

当X= 30时,不同流量下仪表精度见表2

对流量计的精度和直管段的预测,为不同精度要求的软化水计量表选择适当长度的直管段提供了理论参考。
4.结语
(1)旋转数Sw与X成指数关系,即随着下游距离X的增加,旋转流强度以指数方式衰减。指数系数c和α值与介质的性质,雷诺数等参数有关。
(2)对于任一旋转流源,随着下游距离X的增加,在大流量区旋转流强度衰减速度快,而在小流量区,旋转流强度衰减速度要慢一些,因此,对小流量的流量计管道设计中需要加长直管段,以减少旋转流对流量计精度的影响。
(3)不论旋转流的方向如何,流量计越靠近旋转流源,流量计的精度δ越差,流量计精度可以按式(5)进行初步预测。
对于测量精度和误差影响桃色APP直播软件也没有实际的经验数据,如果测量参数用于过程控制,在工艺能够接受的范围内的误差都是可以的,如果是用于计量,如水,天然气,油等则应达到其标称精度,另外用于计量的仪表计量局会对其进行验收,不达标的不会通过。
如果有条件建议直管段留长一些。
一般孔板的为前10D后5D,也有为前24D后7D的时候,*好是前直管段30~50D为好
软化水计量表为前15D后5D
涡街流量计为前15-20D后5D
对于质量流量计无特殊要求
转子、椭圆齿轮流量计也无特殊要求
不过一般直管段*好是有,长度尽可能的长。

软化水计量表是一种速度式流量仪表,由于具有结构紧凑、测量精度高、反应速度快、测量范围广、价格低廉和安装方便等优点,而得到广泛应用。对于贸易结算计量,流量计的精确度是至关重要的。
软化水计量表在测量过程中对直管段的一般性要求为:流量计必须水平安装在管道上(管道倾斜在5以内),安装时流量计轴线应与管道轴线同心,流向要一致。 流量计上游管道长度应有不小于2D的等径直管段,如果安装场所充许建议上游直管段为20D、下游为5D。
影响软化水计量表精度的主要外部因素是流体的流动状态,软化水计量表特性曲线要保持良好的线性关系,流过流量计的流体应为充分发展的流型。对流量计的精度和直管段的预测,为不同精度要求的软化水计量表选择适当长度的直管段提供了理论参考。
影响软化水计量表精度的主要外部因素是流体的流动状态,软化水计量表特性曲线要保持良好的线性关系,流过流量计的流体应为充分发展的流型。
1.旋转系数与下游直管段长度之间的关系旋转流的旋转强度用旋转系数来表示,旋转系数定义为角动量通量与轴向动量通量的比值:

式中: w———周向速度;
u———轴向速度;
R———管道半径;
A———流体流过的横截面积;
ρ———密度。
对于圆管内的旋转流,在r= 0.95R处的旋转
角度*大,即:

采用多项迭代的方法,可编程计算出在某个X值时(X为圆管直径D的倍数)满足一定精度的Sw值:

常数b和c与流体性质、雷诺数和流量有关,需要通过实验确定。对于不可压缩流体, b= 0.030~ 0.085, c= 0.10~ 0.50。一般来说,流量越大,旋转流的衰减越大,由式(3)可以看出,旋转流发生后的直管段越长,旋转流的强度越弱,对软化水计量表精度的影响越小。
2.实验设计与结果分析
为了在实验过程中能得到理想的旋转流体,实验中采用了模拟多种强度旋转流的发生器,旋转流发生器安装在流量计上游来流的起始点处。实验采用称量法,记录电子称上的质量脉冲数
N,N乘以质量脉冲常数(0.08333),即得到质量值(kg),同时记录时间和涡轮变送器的脉冲数,在每个流量点重复做三次,记录三组数据,共选择5个流量点来覆盖软化水计量表的测量量程。流量Q= 0.08333N/t,仪表系数为:

仪表系数K与旋转数Sw成线性关系,仪表精度为:

其中α、d均为待定系数。根据实验所得多组脉冲数和流量数据,可计算出仪表精度δ值。按δ- X方程及δ和X数据进行*小二乘法回归,可确定α和d的数值。一般来说,对不可压缩流体,α= 1.15~ 2.20, d= 0.016~ 0.11。
3.直管段长度和软化水计量表精度的初步预测在工程设计中,根据流体性质、流量和雷诺数确定α和d值。这样,按照式(5)就可以依不同的流量计精度要求,对直管段长度进行初步预测,或确定直管段长度后,对流量计的精度做初步预测。当δ= 0.2%时,不同流量下所需直管段长度见表1。

当X= 30时,不同流量下仪表精度见表2

对流量计的精度和直管段的预测,为不同精度要求的软化水计量表选择适当长度的直管段提供了理论参考。
4.结语
(1)旋转数Sw与X成指数关系,即随着下游距离X的增加,旋转流强度以指数方式衰减。指数系数c和α值与介质的性质,雷诺数等参数有关。
(2)对于任一旋转流源,随着下游距离X的增加,在大流量区旋转流强度衰减速度快,而在小流量区,旋转流强度衰减速度要慢一些,因此,对小流量的流量计管道设计中需要加长直管段,以减少旋转流对流量计精度的影响。
(3)不论旋转流的方向如何,流量计越靠近旋转流源,流量计的精度δ越差,流量计精度可以按式(5)进行初步预测。

