产品目录
桃色在线视频
液体流量计
桃色成人在线视频
油流量计
桃色视频入口
椭圆齿轮流量计
电磁流量计
涡街流量计
蒸汽流量计
孔板流量计
旋进旋涡流量计
热式气体质量流量计
转子流量计
浮子流量计
靶式流量计
气体流量计
超声波流量计
磁翻板液位计
浮子液位计
浮球液位计
玻璃管液位计
雷达液位计
超声波液位计
投入式液位计
压力变送器
差压变送器
液位变送器
温度变送器
热电偶
热电阻
双金属温度计
推荐产品
联系桃色APP直播软件
- 金湖桃色APP直播软件仪表有限公司
- 联系电话:15195518515
- 在线客服:1464856260
- 电话:0517-86801009
- 传真号码:0517-86801007
- 邮箱:1464856260@qq.com
- 网址:http://www.hdl-enamel.com
- 地址:江苏省金湖县理士大道61号
补桃色成人在线视频如何调零
发布时间:2021-09-11 02:23:46 点击次数:2088次
1 补桃色成人在线视频参数设置
补桃色成人在线视频有两个运行状态:自动测量状态、参数设置状态。补桃色成人在线视频上电时,自动进入测量状态。在自动测量状态下,补桃色成人在线视频自动完成各测量功能并显示相应的测量数据。在参数设置状态下,用户使用四个面板键,完成补桃色成人在线视频参数设置。
1.1 键功能(参见图 3.2)
1.自动测量状态时键功能:

2.参数设置状态时键功能:

1.2 参数设置功能键操作

1.3 参数设置菜单
LDG 共有 45 个菜单项,使用补桃色成人在线视频时,用户应根据具体情况设置或选择各参数。LDG 菜单一览表如下:

注:
1、序号 36 和 37 项为掉电时间记录功能,无掉电功能转换器,此参数项无效。
2、总量清零密码出厂设置为:36666
1.4 补桃色成人在线视频参数说明
仪表参数决定仪表的运行状态、计算方法、输出方式。正确地选用和设置仪表参数,可使仪表运行在*佳状态,能得到较高的测量显示精度和测量输出精度。
仪表参数设置功能设有 5 级密码。其中,0~3 级为用户密码,* 4 级为制造厂密码。用户可使用* 4 级密码来重新设置* 1~3 级密码。另外,还设有总量清零密码专门用于累计计数回零。
无论使用哪级密码,用户均可以察看仪表参数。但用户若想改变仪表参数,则要使用不同级别的密码。
* 0 级密码(固定值 0521):用户能察看所有的参数,但不可修改;
* 1 级密码(出厂值 7206):用户能改变 1~25 仪表参数;
* 2 级密码(出厂值 3110):用户能改变 1~29 仪表参数;
* 3 级密码(出厂值 2901):用户能改变 1~38 仪表参数;
* 4 级密码(固定值):用户能改变所有的参数和进行参数初始化。
建议由用户较高级别的人员掌握* 3、4 级密码;* 3 级密码,还可用于设置总量清“0”密码;* 0~2 级密码,由用户决定何级别的人员掌握。
1.4.1 测量管道口径
LDG 型污桃色成人在线视频转换器可按查表形式选择配套的公称通径为 3~3000mm 范围的传感器。
1.4.2 流量量程设定
流量量程是指流量测量的上限流量值(满量程)。上限流量值是针对输出信号和百分比显示而言的。它与电流输出上限值和频率(脉冲)输出上限值及 100%显示值相对应。与之相关联的还有用百分比流量表示的小信号切除和超限报警。本转换器的流量显示与流速显示在规定的范围内不受流量量程的限制。
在流量量程设定参数中选择流量显示单位,补桃色成人在线视频流量显示单位有,体积流量单位:L/s、L/min、L/h、m3/s、m3/min、m3/h 和质量流量单位:kg/s、kg/m、kg/h、t/s、t/m、t/h,用户可根据工艺要求和使用习惯,选定一个合适的流量显示单位。
注意:补桃色成人在线视频用 5 位有效数字显示流量值,末位数值的后面显示有流量的单位
1.4.3 量程自动切换
转换器具有可选的两个量程自动切换功能,可方便地用于昼夜流量变化范围大的自动控制测量系统。在“流量量程设定”菜单下设置的量程值为*一量程(高量程)。在“量程自动切换”菜单下可选择 1:2、1:4 或 1:8 作为*二量程(低量程),*二量程值为*一量程值的 1/2、1/4或 1/8。
图 5.1 是量程比为 1:4 的量程自动切换曲线。为切换安全可靠,自动设置有 5%~10%的滞后特性。当切换量程后,PDIR(FDIR)端子输出低电平(0V)为*一量程(高量程);端子输出高电平(+12V)为*二量程(低量程)。同时,测量界面上行指示可提示当前量程比为 1:1、1:2、1: 4 或 1:8。

1.4.4 测量阻尼时间
长的测量阻尼时间能提高补桃色成人在线视频流量显示稳定性及输出信号的稳定性,适于具有流量调节的情况使用;短的测量阻尼时间可以加快测量反映速度,适于总量累计的脉动流量测量。测量阻尼时间的设置采用选择方式,用户选一个阻尼时间值,即可使用。
1.4.5 流量方向选择
如果用户认为调试时的流体方向为正,而补桃色成人在线视频显示为负,则将流量方向设定反向,反之亦然。
1.4.6 流量零点修正
在电磁流量传感器的测量管内充满导电流体,并且流体处于静止不流动,转换器已经对流量计的零点做了智能化处理。若所配传感器的零点超出转换器的智能处理范围,用户需要进行流量零点修正。流量零点是用流速表示的,单位为m/s。转换器流量零点修正显示如下:

显示中:上行“基准”代表补桃色成人在线视频零点的测量值,下行显示是流量零点修正值。当“基准”显示不为“0”时,应调修正值使基准=0。注意:若改变下行修正值,“基准”值增加,需要改变下行数值的正、负号,使“基准”能够修正为零。
再次提醒:流量零点修正必须在电磁流量传感器的测量管内充满导电流体,并且流体处于静止不流动条件下进行。流量零点的修正值是传感器的校验常数值,应记入传感器的记录单与标*。记入时传感器零点值是以包含符号、m/s为单位的流速值。
1.4.7 小信号切除点
小信号切除点设置是用量程的百分比流量表示的。选择允许小信号切除时,将切除流量、流速及百分比的显示与信号输出;选择禁止时,则不进行任何切除。
1.4.8 变化率限制与不敏感时间

“变化率限制值”与“不敏感时间值”是用来消除某些增加阻尼不能除去的噪声。它能够从真实的流量信号中判别出阶跃信号引起的噪声和浆液尖状噪声。这种判别是以变化率的限制和持续时间为依据的。图 5.2 所示为使用变化率限制技术去除粗大误差的原理说明。该功能为在前面采样中获得的流量数据经一阶滤波后的,设定某一上限和下限(变化率)。如果当前采样的流量数据超过或低于这个*限值,而且在超过或低于这个*限值的变化时间之内,则认为这种变化是由于噪声所引起的,CPU 予以切除;而当超过或低于这个*限值的变化在设置的不敏感时间以外,则认为这种变化是由于真正的流量变化所引起,CPU 就认可是测量流量的变化。
本产品的变化率设置范围可在 0~30%内选定,不敏感时间可在 0~20s 内选择。当变化率限制值和不敏感时间值两者任一个为 0 时,这种功能将被关闭。一般推荐值为:变化率限制值为 10%,不敏感时间值为 3s。
注意,短时间的测量,特别是传感器出厂校验时不可使用这种功能。
1.4.9 流量积算单位
转换器显示器为10位计数器,*大允许计数值为 9999999999。使用积算单位为 L、m3、USgal、Igal 和 kg、t。并有以 0.001、0.01、0.1、1.0 为倍率的上述单位显示。可方便读出一段时间的累计流量。
1.4.10 被测流体密度
本转换器具有质量流量测量功能。根据流量量程设置选择的质量流量单位,可以确定被测流体的密度单位。密度设置可在 0.001~9.999 范围之内。但绝对不能使密度值为 0。否则流量测量的结果总为零值。
1.4.11 电流输出类型
用户可在电流输出类型中选择 0~10mA 或 4~20 mA 的模拟电流输出。
1.4.12 脉冲输出方式
脉冲输出方式有频率输出和脉冲输出两种供选择。频率输出为连续方波;脉冲输出为矩形波脉冲串。频率输出多用于数字的瞬时流量测量和短时间总量累积;脉冲输出通过脉冲当量选择,可读出累计流量的容积值,多用于长时间直接容积单位的总量累积。
频率输出和脉冲输出为 OC 门输出形式。因此,应外接直流电源和负载。具体见* 3.4.5 节的图 3.6。
1.4.13 脉冲当量选择
脉冲当量定义:每个脉冲代表的体积或质量流量。
在同样的流量下,脉冲当量小,则输出脉冲的频率高,适于电子计数器累计流量;脉冲当量大,输出脉冲的频率低,适于用于*高频率可达 25 次/秒的机械式电磁计数器计数。
脉冲当量可以选择 0.0001L/p、0.001L/p、0.01L/p、0.1L/p、1.0L/p、2L/p、5L/p、10L/p、100L/p、1m3/p、10m3/p、100 m3/p 和 1000 m3/p。脉冲输出上限可达 5000cp/s。
脉冲宽度可以选择:自动、10ms、20ms、50ms、100ms、150ms、200ms、250ms、300ms、350ms和 400ms。在选择脉冲宽度时,要考虑不能与脉冲输出的*大频率冲突。
1.4.14 频率输出满度
补桃色成人在线视频频率输出满度对应于流量测量上限,即百分比流量的 100%。频率输出上限值可在 1~5000Hz 范围内任意设置。
1.4.15 空管报警允许
仪表具有空管检测功能,若用户选择允许空管报警,则当仪表检测出空管状态时,即将仪表模拟输出、数字输出置为信号零,同时将仪表流量显示为零。
1.4.16 电*报警阈值
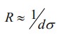
本产品空管报警和电*报警是用恒流源方法实测传感器电*电阻,来做智能判断。按污桃色成人在线视频信号内阻公式:

式中 d——电*直径,σ ——流体电导率,电*电阻一般在 5~50kΩ 。测量电阻与流体电导率、电*直径有关。测量电阻能够反映电*表面污染、附着以及受电解质流体*化影响等不同情况。流体不充满,电*不能正确检测感应信号。测量电阻向 CPU 提供电*状况信息,由 CPU 做出空管和电*异常的判断,转换器提请用户做出适当的电*维护。
本产品改善了空管报警的智能化程序,仅以初测的电*电阻值为基础,选择适当的电*电阻阈值(一般取初测电*电阻值的 3 倍值为参考阈值)。恒流源方式测电阻使测量不受电缆长度影响,从而使操作更加简便,检测更加可靠。
1.4.17 上限报警允许
用户选择允许或禁止。
1.4.18 上限报警阈值
上限报警值以量程百分比计算,该参数采用数值设置方式,用户在 0%~199.9%之间设置一个数值。仪表运行时,当流量百分比大于该值时,仪表将输出报警信号。
1.4.19 下限报警允许
用户选择允许或禁止
1.4.20 下限报警阈值
下限报警阈值以量程百分比计算,该参数采用数值设置方式,用户在 0%~199.9%之间设置一个数值。仪表运行时,当流量百分比小于该值时,仪表将输出报警信号。
1.4.21 反向测量允许
反向测量允许设置在“允许”状态,当流体反向流动时,转换器按反向流量值输出脉冲和电流,反向总量进行累积。反向测量允许设置在“禁止”状态,当流体反向流动时,转换器输出脉冲为“0”,电流输出为信号“0”(4mA 或 0mA),但反向总量仍然进行累积。
1.4.22 总量清零密码
在该参数设置中,用户置入“积算总量清零”的密码,补桃色成人在线视频确认密码无误后,自动完成积算量清零。同时将三个积算器清为零值,重新开始累积。
“积算总量清零”密码可以在用 3 级密码进入设置状态后,在“清积算量密码”菜单下置入您想要设置的“积算总量清零”密码,修改原来的“积算总量清零”密码。注意:请记下您的“积算总量清零”密码。
1.4.23 传感器系数值
仪表配套的传感器出厂校验单或产品标*上,应标有“传感器系数”。用户应将“传感器系数”置入仪表的传感器系数值参数中。
1.3.24 励磁方式选择
转换器能向传感器提供四种励磁方式。用户可根据被测流体实际情况选择一种。通常可以使用方式 1 励磁,方式 2,3 适合于大口径清洁水测量。注意,在哪种励磁方式下工作,传感器就必须在该种励磁方式下标定。
1.4.25 仪表标定系数
该系数为人为设定的系数。转换器内部计算时,总流量是测量流量乘以该系数值。例如,应用于具有仿真传感器的明渠测量潜水污桃色成人在线视频或现场标定后对仪表进行修正。
1.4.26 正向总量预置和反向总量预置
用于更换转换器时保留原先流量积算值的累数值,以便于保持连续累计总量。
1.4.27 输入控制选择
本转换器具有接点输入控制功能,主要用于远程累计量清零、累计量同步显示和批量控制输入。
选择“输入禁止”时,该功能被取消。选择“累积停止”时,使用与换向器同步开关,可以使转换器的流量积算器与其它标准容器或标准流量积算器同步计数,同步停止。在一定权限下选择“累积清零”时,可以清掉流量积算器的积算值。
1.4.28 电流零点修正
转换器出厂时电流输出零点调节,使电流输出准确为 0mA 或 4mA。
1.4.29 电流满度修正
转换器出厂时电流输出满度调节,使电流输出准确为 10mA 或 20mA。
1.4.30 出厂标定系数
转换器制造厂用该系数使补桃色成人在线视频励磁电流和信号放大器规格标准化。
1.4.31 传感器编码
传感器编码记载配套的传感器出厂时间和编号,以确保设置的传感器系数准确无误。
1.4.32 转换器编码
转换器编码记载转换器出厂时间和编号。
1.4.33 时间 年、月、日、时、分、秒(带时钟功能)
用户使用 4 级密码进入,可改时间 年、月、日、时、分、秒;
1.4.34 用户密码 1~3 修改
用户使用 4 级密码进入,可修改此密码;
上一篇:给排桃色成人在线视频应用范围下一篇:补桃色成人在线视频的作用

